Special edition in Bulgarian: Chapter 19 Volume 007 P. 217 - 229
Special edition in Croatian: Chapter 19 Volume 010 P. 48 - 60
Special edition in Romanian: Chapter 19 Volume 007 P. 217 - 229
Document number
-
ELI Identifier: http://data.europa.eu/eli/reg/2005/1869/oj
-
Celex-Nr.: 32005R1869
Dates
-
Date of document: 16/11/2005
-
Date of effect: 24/11/2005 ; Entry into force Date pub. + 7 See Art 2
-
Date of end of validity: ---
Classifications
-
EuroVoc thesaurus
-
Subject matter
-
Directory of EU legislation
Miscellaneous information
-
Author: European Commission
-
Form: Regulation
Relationship between documents
- Treaty: Treaty establishing the European Community (Consolidated version 1992)
-
Legal basis:
Legal instrument Provision 32004R0805 - A31 -
Amendment to:
Legal instrument Amendment type Provision 32004R0805 Amendment Replacement Annex 3 from: 2005/11/24 32004R0805 Amendment Replacement Annex 2 from: 2005/11/24 32004R0805 Amendment Replacement Annex 4 from: 2005/11/24 32004R0805 Amendment Replacement Annex 1 from: 2005/11/24
THE COMMISSION OF THE EUROPEAN COMMUNITIES,
Having regard to the Treaty establishing the European Community,
Having regard to Regulation (EC) No 805/2004 of the European Parliament and of the Council of 21 April 2004 creating a European Enforcement Order for uncontested claims (1) , and in particular Article 31 thereof,
After consulting the Committee established by Article 32 of Regulation (EC) No 805/2004,
Whereas:
| (1) |
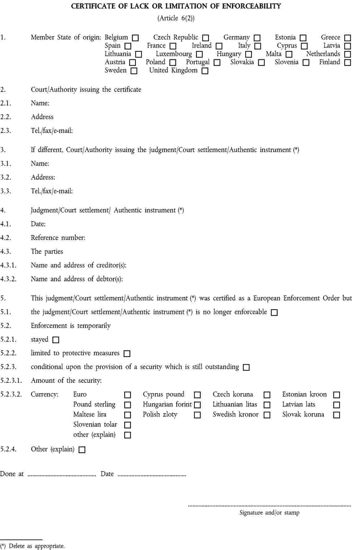
Annexes I to VI to Regulation (EC) No 805/2004 contain a series of standard forms to be used in the context of the European Enforcement Order procedure for uncontested claims. |
| (2) |
Following the accession of new Member States on 1 May 2004, Annexes I to VI to Regulation (EC) No 805/2004 should be replaced so as to adapt the standard forms for use in the new Member States. |
| (3) |
Regulation (EC) No 805/2004 should therefore be amended accordingly, |
HAS ADOPTED THIS REGULATION:
Annexes I to VI to Regulation (EC) No 805/2004 are replaced by the corresponding Annexes to this Regulation.
This Regulation shall enter into force on the seventh day following its publication in the Official Journal of the European Union .
This Regulation shall be binding in its entirety and directly applicable in all Member States.
Done at Brussels, 16 November 2005.
For the Commission
Franco FRATTINI
Vice-President
Source
-
EUR-Lex
EUR-Lex is a legal portal maintained by the Publications Office with the aim to enhance public access to European Union law.
Except where otherwise stated, all intellectual property rights on EUR-Lex data belong to the European Union.
© European Union, http://eur-lex.europa.eu/, 1998-2015 Link to document text: http://eur-lex.europa.eu/legal-content/EN/ALL/?uri=CELEX:32005R1869
Important legal notice: In accordance with Regulation (EU) № 216/2013 only the legislation of the European Union published in the printed edition prior to July 1, 2013 and the electronic edition of the Official Journal of the European Union after July 1, 2013 (including) is deemed authentic and produces legal effects.





